#1089. [SCOI2003]严格n元树

内存限制:162 MiB 时间限制:1 Sec

题目描述

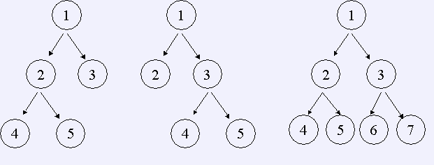
  如果一棵树的所有非叶节点都恰好有n个儿子,那么我们称它为严格n元树。如果该树中最底层的节点深度为d
(根的深度为0),那么我们称它为一棵深度为d的严格n元树。例如,深度为2的严格2元树有三个,如下图:

  给出n, d,编程数出深度为d的n元树数目。

输入格式

  仅包含两个整数n, d( 0   <   n   <   =   32,   0  < =   d  < = 16)

输出格式

  仅包含一个数,即深度为d的n元树的数目。

样例

样例输入


			
【样例输入1】
2 2

【样例输入2】
2 3

【样例输入3】
3 5

样例输出


			
【样例输出1】
3

【样例输出2】
21

【样例输出2】
58871587162270592645034001

数据范围与提示