#4530. [Bjoi2014]大融合

内存限制:256 MiB 时间限制:10 Sec

题目描述

小强要在N个孤立的星球上建立起一套通信系统。这套通信系统就是连接N个点的一个树。
这个树的边是一条一条添加上去的。在某个时刻,一条边的负载就是它所在的当前能够
联通的树上路过它的简单路径的数量。
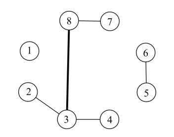
例如,在上图中,现在一共有了5条边。其中,(3,8)这条边的负载是6,因
为有六条简单路径2-3-8,2-3-8-7,3-8,3-8-7,4-3-8,4-3-8-7路过了(3,8)。
现在,你的任务就是随着边的添加,动态的回答小强对于某些边的负载的
询问。

输入格式

第一行包含两个整数N,Q,表示星球的数量和操作的数量。星球从1开始编号。
接下来的Q行,每行是如下两种格式之一:
A x y 表示在x和y之间连一条边。保证之前x和y是不联通的。
Q x y 表示询问(x,y)这条边上的负载。保证x和y之间有一条边。
1≤N,Q≤100000

输出格式

对每个查询操作,输出被查询的边的负载。

样例

样例输入


			
8 6
A 2 3
A 3 4
A 3 8
A 8 7
A 6 5
Q 3 8

样例输出


			
6

数据范围与提示