#4666. 小z的胡话

内存限制:512 MiB 时间限制:10 Sec

题目描述

废话不多说,反正小z要说胡话啦!!
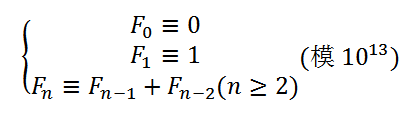
小z滔滔不绝地念叨着一串串数字,经过围观群众仔细辨认,猜测他说的正是模10^13意义下的斐波那契数列,我们称之为数列F。
在小z安静下来后,大家都牢牢记住了他所念的最后一个数字,遗憾的是,谁也没有数清小z到底说到了数列的多少项,于是决定求助于你。
给定一个模10^13意义下的非负整数a,求a第一次在数列F中出现是第几项。
这里模意义下的斐波那契数列F定义如下:

输入格式

一行一个非负整数a,0<=a<10^13

输出格式

一行一个整数ans,表示a第一次在数列F中出现的位置
如果a不出现在数列F中,输出-1

样例

样例输入


			
1

样例输出


			
1

数据范围与提示