#5276. Skyfall

内存限制:233 MiB 时间限制:10 Sec

题目描述

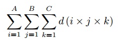
求下列表达式的值

其中d(x)代表x的因子数,例如d(6)=4

输入格式

 一行三个整数A,B,C。
1 ≤ A, B, C ≤ 5000

输出格式

输出一行一个整数表示答案对2^30取模的结果。

样例

样例输入


			
1 2 3

样例输出


			
14

数据范围与提示