#5538. NOI2019 回家路线

内存限制:512 MiB 时间限制:10 Sec

题目描述

 猫国的铁路系统中有N个站点,从1--N编号。小猫准备从1号站点出发,乘坐列车回到猫窝所在的N号站点。它查询了能够乘坐的列车,这些列车共m班,从1--M编号。小猫将在0时刻到达1号站点。对于i号列车,它将在时刻pi从站点xi出发,在时刻qi直达站点yi ,小猫只能在时刻pi上i号列车,也只能在时刻下i号列车。

小猫可以通过多次换乘到达n号站点。一次换乘是指对于两班列车,假设分别为u号与v号列车,若yu=xv并且qu<=pv,那么小猫可以乘坐完u号列车后在yu号站点等待pv-qu个时刻,并在pv时刻乘坐v号列车。
小猫只想回到猫窝并且减少途中的麻烦,对此它用烦躁值来衡量。
小猫在站点等待时将增加烦躁值,对于一次t(t>=0)个时刻的等待,烦躁值将增加a*t*t+b*t+c ,其中a,b,c是给定的常数。
注意:小猫登上第一班列车前,即从时刻0起停留在1号站点的那些时刻也算作一次等待。
若小猫最终在时刻z到达n号站点,则烦躁值将再增加z。
形式化地说,若小猫共乘坐了k班列车,依次乘坐的列车编号可用序列s1,s2....sk表示。该方案被称作一条可行的回家路线,当且仅当它满足下列两个条件:
xs1=1,ysk=n;
对于所有j(1<=j<k),满足且ysj=xsj+1且qsj<=psj+1 。
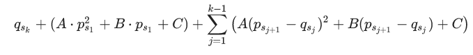
对于该回家路线,小猫得到的烦躁值将为:
小猫想让自己的烦躁值尽量小,请你帮它求出所有可行的回家路线中,能得到的最小的烦躁值。题目保证至少存在一条可行的回家路线。
1<=N<=100000
1<=M<=200000
0<=a<=10
0<=b,c<=1000000
1<=xi,yi<=N,xi!=yi
0<=pi<qi<=1000

输入格式

第一行五个整数n,m,a,b,c ,变量意义见题目描述。

接下来m行,第i行四个整数xi,yi,pi,qi 
分别表示i号列车的出发站、到达站、出发时刻与到达时刻

输出格式

输出仅一行一个整数,表示所求的答案

样例

样例输入


			
3 4 1 5 10
1 2 3 4
1 2 5 7
1 2 6 8
2 3 9 10

样例输出


			
94

数据范围与提示